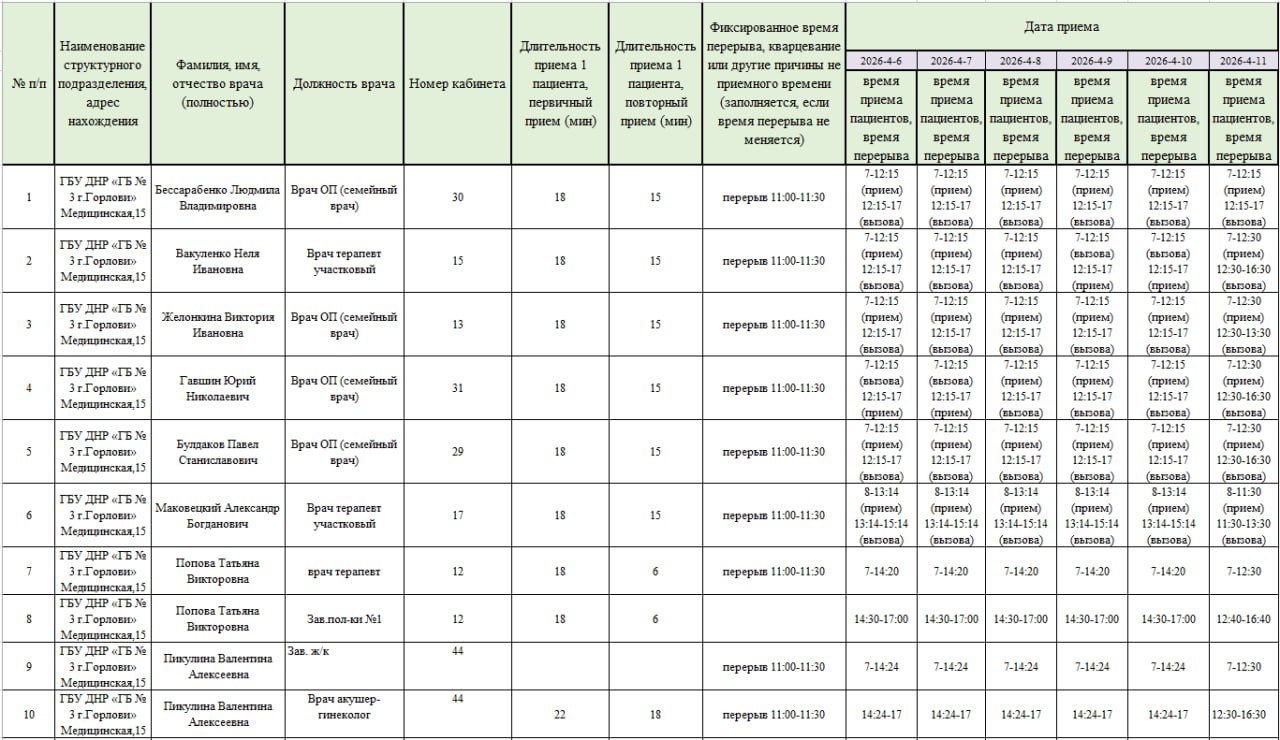
График работы специалистов ГБУ ДНР «Городская больница № 3 г. Горловки»
Иван Приходько: График работы специалистов ГБУ ДНР «Городская больница № 3 г. Горловки»
Подписывайтесь на наш паблик в ВКонтакте
Топ
#СОДЕРЖАНИЕ_СВОД за суткиАвтомобилисты, будьте внимательны! На автодороге Павловка - Петровское - /Белгород - Старобельск - Луганск - Донецк - Мариуполь/ установили новые дорожные знакиТакже в рамках содержания автомобильных дорог...
Диспансеризация - лучшая забота о себе!Берегите воду!
График работы специалистов ГБУ ДНР «ГДСП г.Горловки», ГБУ ДНР «Городской наркологический диспансер г. Горловки», ГБУ ДНР «ГПБ г. Горловки», ГБУ ДНР «ГПТД г.Горловки», ГБУ ДНР «ГДВД г.Горловки», ГБУ ДНР «ГСП г.Горловки», ГБУ ДНР «ГОД г....
График работы специалистов ГБУ ДНР «Городская больница № 1 г. Горловки», ГБУ ДНР «Городская больница № 2 г. Горловки»
Новороссия во тьмеПосле кратковременного подключения электричества новые субъекты РФ снова без подключения.Массовые отключения электроэнергии в ДНР.Сотни тысяч жителей региона в Донецке, Макеевке, Мариуполе, Горловке и Енакиево...
Жители Донецка, Макеевки, Мариуполя, Горловки и Енакиево снова сообщают о перебоях с электричеством. "Только что видела, как напряжение просто упало до 104, а потом 095 и свет "ушел". Такого низкого я не видела еще ни разу",— рассказала "Донецкому...
Уважаемые горловчане!Администрация городского округа Горловка информирует о работе горячей линии телефонной связи. Позвонив по номеру телефона: +7(949)4551636, вы можете оставить заявки о местах скопления бездомных животных (бродячих...
Уважаемые абоненты Филиала «Горловское ПУВКХ» ГУП ДНР «ВОДА ДОНБАССА»Обращаем ваше внимание на необходимость проведения государственной поверки индивидуальных приборов учёта холодной воды.Для приборов учёта, у которых просрочена дата госповерки...
В рамках Всероссийского проекта «Лица дружбы» состоялся телемост между Буныревской школой № 14 и Лицеем № 4 города Горловка, а также школой № 11 Каменска-Шахтинского (Ростовская область).Проект объединяет школьников из разных регионов страны и...
Уважаемые абоненты Филиала «Горловское ПУВКХ ГУП ДНР «Вода Донбасса»Обращаемся с просьбой один раз в течении месяца любым доступным для вас способом передавать показания приборов учета до 25-го числа.Для вашего удобства рекомендуем...
Внимание! Беспилотная опасность по Горловке.@Prikhodko1970
Вниманию горловчан: отключение электроэнергииГорловский Восточный РЭС сообщает, что в связи с проведением ремонтных работ 7 апреля с 09:00 до 16:00 не будет электроэнергии по адресам: ул. Касаткина, 1-45, 2-50, ул. Андерсена, 21-39, 11, 55, 10-32, ул....
Вчера произошло аварийное отключение — 500 тысяч людей остались без электричества. Поздней ночью энергетики занялись починкой, и почти везде свет появился.Сейчас началось новое отключение. Жалуются жители Донецка, Макеевки, Мариуполя, Горловки и...
Информация по обстрелам Горловки с 00:00 05.04.2026 г. по 00:00 06.04.2026 г.@Prikhodko1970
Филиал «Горловское ПУВКХ» ГУП ДНР «ВОДА ДОНБАССА» сообщает, что в связи с проведением ремонтных работ на фильтровальной станции № 1 будет полностью прекращена подача питьевой воды от данной фильтровальной станции. На время выполнения данных работ, 7 и...
31 марта 2026 года председатель Общественного совета городского округа Горловка архимандрит Агафодор (Поляков) и член Общественного совета Бондарева-Шурина Алиса Константиновна присутствовали на 63-м внеочередном заседании Горловского городского...
Филиал «Горловское ПУВКХ» ГУП ДНР «ВОДА ДОНБАССА» информируетФилиал «Горловское ПУВКХ» ГУП ДНР «ВОДА ДОНБАССА» сообщает, что в связи с проведением ремонтных работ на фильтровальной станции № 1 будет полностью прекращена подача питьевой воды от...
https://max.ru/PushilinDenis) есть в национальном мессенджере MAX. Подписывайтесь, чтобы в случае блокировки Телеграма не пропустить ключевые события в жизни Республики!
https://max.ru/AG_DPR) в мессенджере MAX. Подписывайтесь, чтобы быть в курсе последних изменений в сфере соцзащиты, если заблокируют Телеграм.
В связи с аварийной ситуацией центральная часть города обесточена. В настоящее время предпринимаются все необходимые меры по устранению аварии.@Prikhodko1970









































