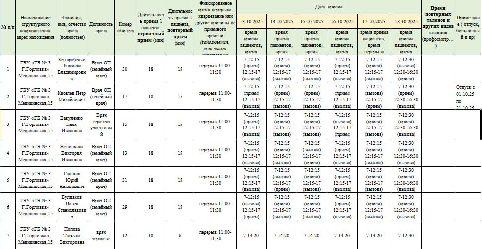
График работы специалистов ГБУ ДНР «Городская больница № 1 г. Горловки» и ГБУ ДНР «Городская больница № 3 г. Горловки»
Иван Приходько: График работы специалистов ГБУ ДНР «Городская больница № 1 г. Горловки» и ГБУ ДНР «Городская больница № 3 г. Горловки»
Подписывайтесь на наш Telegram-канал
Топ
С 13 по 16 декабря 2025 года осуществлена выездная торговля с использованием автомагазинов в населенных пунктах городских округов Донецк, Горловка, Мариуполь, на территории г. Авдеевка, также Волновахского, Володарского, Старобешевского...
Республиканское предприятие «Мир хлеба» продолжает расширять географию нового технологического продукта – хлеба «Ремесленный». Ранее к его производству приступили в горловском и макеевском филиалах. Выпускаются два вида ремесленного хлеба:...
16 декабря 2025 года во исполнение поручения Главы Донецкой Народной Республики Дениса Пушилина депутаты Горловского городского совета – Олег Сладкевич и Максим Лебедев провели встречи с населением.На встречах от жителей поступил вопрос...
Старшекурсникам расскажут о принципах и правилах производственной работы и дадут возможность дальнейшего трудоустройства. Это поможет обеспечить системный подход к организации территории нашего региона и его инфраструктурного...
Обновляем автопарк общественного транспорта Республики.Вместе с министром транспорта РФ Андреем Никитиным проверили новые комфортабельные автобусы, прибывшие в ДНР в рамках двух программ — социально-экономического развития региона и льготного лизинга....
Волонтры Молоджки Горловки разнесли воду нуждающимся, пожилым и маломобильным людям.Мы всегда готовы помочь, ведь простая забота — глоток добра в повседневностиПодписаться | Вступить в Молодёжку
Проблема водоснабжения Донецка имеет комплексный характер, что отражается на всём городе. И это не решить локальными усилиями, нужна полная замена всей системы.Об этом в своём видеоблоге заявил военкор Александр Сладков, передаёт корреспондент...
В Донецкой Народной Республике обсуждают будущее ключевых городов региона.На конференции с участием представителей муниципалитетов, профильных министерств и федеральных экспертов рассматривают генеральные планы развития...
Активисты «Молодой Гвардии» с гуманитарной миссией побывали в школе Никитовского района Горловки. Из-за постоянных обстрелов учреждение работает в дистанционном формате, но интерес ребят к учёбе не ослабевает.Поддержать образовательный процесс помогли...
Филиал «Горловское ПУВКХ» ГУП ДНР «ВОДА ДОНБАССА» информируетФилиал «Горловское ПУВКХ» ГУП ДНР «ВОДА ДОНБАССА» сообщает, что в связи с аварийной ситуацией перекрыта подача воды жителям дома № 233 по пр. Ленина. Продолжение работ запланировано...
16 декабря 2025 года состоялся приём граждан депутатом Горловского городского совета Донецкой Народной Республики первого созыва Александром Куновым в Общественной приёмной местного отделения Всероссийской политической партии «Единая Россия» в...
Филиал «Горловское ПУВКХ» ГУП ДНР «ВОДА ДОНБАССА» информируетФилиал «Горловское ПУВКХ» ГУП ДНР «ВОДА ДОНБАССА» сообщает, что 18 декабря с 09:00 до окончания работ будет отсутствовать вода у потребителей поселков: Химик, Химзавод, Поклонск.@Prikhodko1970
За последнюю неделю МУП «Управляющая компания города Горловка» провело активную работу по ряду направлений. Восстановлено шиферное покрытие крыш в 2 многоквартирных домах, выполнен ремонт мягкой кровли ещё в 7 МКД.Также устранены неполадки и...
Бойцы ОБСпН «АрБат» доставили важный гуманитарный груз, в состав которого вошли многофункциональные кровати и матрасы, в Горловскую городскую больницу № 2. Помощь была собрана благотворительным фондом «Возрождение», неравнодушными жителями...
Сотрудники ГУП ДНР «Вода Донбасса» совместно с аварийно-восстановительными бригадами из Кузбасса обеспечивают стабильную работу систем водоснабжения и водоотведения, помогая городу справляться с последствиями повреждений коммунальной...
Филиал «Горловское ПУВКХ» ГУП ДНР «ВОДА ДОНБАССА» сообщает, что в связи с аварийной ситуацией перекрыта подача воды жителям дома № 233 по пр. Ленина.Продолжение работ запланировано на 17.12.2025.#Горловка
Глава Новокузнпального округа Андрей Шарнин с радостью присоединился к доброй и по-настоящему душевной акции «Ёлка желаний», старт которой дал Губернатор Кузбасса Илья Середюк.Эта инициатива дарит детям веру в чудо и ещё раз напоминает, как важно быть...
Из Кузбасса в город-побратим Горловку отправилась фура с новогодним грузом. Более 10 тысяч подарков предназначены для ребятишек из прифронтовой зоны — их доставят прямо к домам, чтобы каждый ребёнок почувствовал заботу и праздничное настроение в...
16 декабря 2025 года депутаты Горловского городского совета от фракции «Единая Россия» — Даниил Карабаев, Эдуард Полепкин, Елена Кузьмина — осуществили адресный подвоз воды.Жители выразили благодарность депутатам за систематическое оказание помощи в...
Движение троллейбусов по маршруту № 3 восстановлено.@Prikhodko1970















































