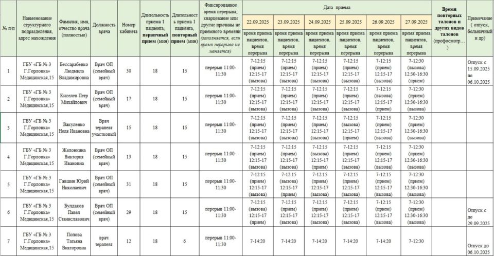
График работы специалистов ГБУ ДНР «Городская больница № 1 г. Горловки» и ГБУ ДНР «Городская больница № 3 г. Горловки»
Иван Приходько: График работы специалистов ГБУ ДНР «Городская больница № 1 г. Горловки» и ГБУ ДНР «Городская больница № 3 г. Горловки»
Подписывайтесь на наш паблик в ВКонтакте
Топ
Жители Горловки принимаю активное участие в реализации партийного проекта Единой России «Детский спорт»В рамках реализации проекта партии «Единая Россия» «Детский спорт» воспитанники отделения футбола МБУ ДО Г. ГОРЛОВКА «СШ №...
Заместитель главы администрации городского округа Горловка Игорь Горбатов провел прием гражданСегодня, 17 декабря, заместитель главы администрации городского округа Горловка Донецкой Народной Республики, член партии «Единая Россия» Игорь...
В Центрально-Городском районе Горловки прошла встреча с трудовым коллективомСегодня, 17 декабря, во исполнение поручения Главы Донецкой Народной Республики Дениса Пушилина, заместитель руководителя Управы Центрально-Городского внутригородского...
В Горловке проведено мероприятие в рамках партийного проекта Единой России «Единая страна – доступная среда»Сегодня, 17 декабря, в Городе воинской славы и трудовой доблести Горловке в рамках реализации проекта партии «Единая Россия» «Единая страна –...
Глава Новокузнецкого округа Кемеровской области Андрей Шарнин исполнит новогодние мечты двух детей из Донецкой Народной Республики в рамках акции «Елка желаний».Я снял с елки желания двух школьников из города Горловки - семилетнего Алексея и...
Благодаря реализации разработанных Единым институтом пространственного планирования РФ проектных решений генерального плана в городском округе Горловка в ДНР появятся сразу три технопарка.Проект генплана представлен в Донецке Единым институтом...
Информация по обстрелам Горловки с 00:00 16.12.2025 г. по 00:00 17.12.2025 г.@Prikhodko1970
Состоялось важное событие для Горловки – подписали соглашение о дружбе с Тулой! Спасибо губернатору Тульской области Дмитрию Вячеславовичу Миляеву за поддержку. Вместе с Ильей Ильичем Беспаловым, главой администрации Тулы, поставили подписи...
Специалисты заменили 140 метров водопроводных сетей в ГорловкеЗа прошедшую неделю специалисты Горловского филиала предприятия «Вода Донбасса» совместно с коллегами из Кузбасса выполнили значительный объем работ по восстановлению объектов водоснабжения...
В Горловке подписано важное соглашение. Автомобильно-дорожный институт ДонНТУ и Молодёжный парламент Донецкой Народной Республики договорились о совместной работе. Ожидается, что это сотрудничество поможет воспитать...
В непростое время, когда каждый день приносит новые вызовы, особенно важно помнить о тех, кто нуждается в поддержке и заботе. Журналисты корреспондентского пункта телеканала "Оплот" в Горловке продолжают волонтерскую миссию по доставке...
Партия внесла в Госдуму законопроект, который предусматривает возможность розничной торговли лекарственными препаратами с помощью передвижных аптечных пунктов. Они будут действовать только в тех населенных пунктах, где нет ни аптек, ни ФАПов или...
"Ой, меня трясло, я плакала. Я так рада была, что пришёл Серёжа с Никитой (российские солдаты, первыми вошедшие в дом местной жительницы), — поделилась одна из женщин. — Мы готовы были отдать им всё: и конфетки, и всё, что было под...
Безопасная установка новогодней ёлки: ключевые моментыУкрашение ёлки – неотъемлемая часть новогодних торжеств, а мерцающие гирлянды добавляют ей особого очарования. Однако, чтобы избежать трагических последствий, крайне важно соблюдать...
Почему нельзя ламинировать документы?Многие считают, что ламинирование помогает «сохранить» документ, но на самом деле это может навредить.Почему важно избегать ламинирования официальных бумаг:• Документ теряет юридическую силу.•...
Сотрудники отдела уголовного розыска УМВД России «Горловское» совместно с коллегами из Управления уголовного розыска Министерства внутренних дел по Донецкой Народной Республике и оперативниками из ГУ МВД России по Ставропольскому краю задержали двух...
Муниципальное унитарное предприятие «Простор» ежедневно выполняет все необходимые работы по содержанию городских улиц.Так, во вторник, 16 декабря, подразделениями МУП «Простор» были выполнены следующие работы:- уборка мусора, подметание на...
С 13 по 16 декабря 2025 года осуществлена выездная торговля с использованием автомагазинов в населенных пунктах городских округов Донецк, Горловка, Мариуполь, на территории г. Авдеевка, также Волновахского, Володарского, Старобешевского...
Республиканское предприятие «Мир хлеба» продолжает расширять географию нового технологического продукта – хлеба «Ремесленный». Ранее к его производству приступили в горловском и макеевском филиалах. Выпускаются два вида ремесленного хлеба:...















































