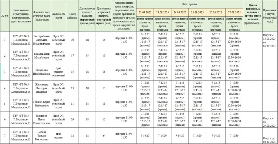
График работы специалистов ГБУ ДНР «Городская больница № 1 г. Горловки» и ГБУ ДНР «Городская больница № 3 г. Горловки»
Иван Приходько: График работы специалистов ГБУ ДНР «Городская больница № 1 г. Горловки» и ГБУ ДНР «Городская больница № 3 г. Горловки»
Подписывайтесь на наш паблик в Одноклассниках
Топ
Многочисленным атакам подверглись жилые кварталы Никитовского района Горловки и Буденновского района Донецка, по которым применялись ударные БПЛА.Всего от обстрелов территории ДНР повреждения получили 3 жилых домостроения.Подписывайтесь на...
28 октября в Автомобильно-дорожном институте (АДИ ДонНТУ) состоялось значимое интеллектуальное мероприятие - научно технологический квиз «Как? Чем? Для чего?». Событие стало важной частью Молодёжного научно технологического форума «Вперёд к знаниям» и...
#ГероиДонбасса В Горловке, где каждый день проверяет на прочность, живут настоящие герои. Их оружие — доброта, их броня — вера, а поле битвы — сердца и души земляков. Одной из таких героинь является Александра Сытюк.Молодая девушка в сложных...
Активисты Народного контроля проверили ряд магазинов в Никитовском районе Горловки 30 октября активисты Народного контроля проверили ряд магазинов, расположенных в Никитовском районе Горловки. Основной целью ревизии стала...
Обеспечение бесперебойной связи: Изменение номеров аварийно-диспетчерской службы в ГорловкеМУНИЦИПАЛЬНОЕ УНИТАРНОЕ ПРЕДПРИЯТИЕ «УПРАВЛЯЮЩАЯ КОМПАНИЯ ГОРОДА ГОРЛОВКА» информирует жителей о переходе на новые телефонные номера...
Примите искренние и сердечные поздравления с днем рождения!Желаем чтобы Господь находился рядом, оберегал и помогал Вам. Федерация бокса ДНР выражает благодарность за Ваши добрые дела , заботу о людях и ценит дружбу с Вами.Ваши мудрые советы и...
Движение автобусов по маршруту № 101 восстановлено.#Горловка
Вниманию горловчан: отключение электроэнергииГорловский Восточный РЭС сообщает, что в связи с проведением ремонтных работ 1 ноября с 09:00 до 15:00 не будет электроэнергии по адресам: ул. Малыхина, 93-175, 112-188, ул. Чичкана, 1-55, 6-58, ул....
В связи с поломкой автобуса по маршруту № 101движение в данном направлении временно приостановлено.Просьба с пониманием отнестись к сложившейся ситуации и планировать свои маршруты с учётом вышеизложенной информации.#Горловка
В связи с проведением восстановительных работ на контактной сети по маршруту троллейбуса № 2 движение в данном направлении будет приостановлено.Просьба с пониманием отнестись к сложившейся ситуации и планировать свои маршруты с учётом вышеизложенной...
В связи с проведением восстановительных работ на контактной сети по маршруту троллейбуса № 2 движение в данном направлении будет приостановлено. Просьба с пониманием отнестись к сложившейся ситуации и планировать свои маршруты с учётом...
Ваше Высокопреосвященство, Владыка Митрофан! От лица горловчан и от себя лично хочу выразить Вам сердечные поздравления и глубокую благодарность в честь Вашего дня рождения. Вы – истинный духовный наставник, направляющий нас по тропе света и...
В финальный этап премии прошли 90 номинантов, представляющих 23 государства и 31 субъект Российской Федерации. Из этого числа 61 заявка – это финалисты общероссийского трека, а 29 – международного.Проголосуйте за наших! За победу в голосовании...
Активисты Народного контроля проверили ряд магазинов в Никитовском районе ГорловкиСегодня, 30 октября, активисты Народного контроля проверили ряд магазинов, расположенных в Никитовском районе Горловки. Основной целью ревизии стала оценка доступности...
О возможности в рамках НП «Кадры» бесплатно повысить свои знания и компетенции Наталья Ивченко узнала от специалистов местного ЦЗ, куда обратилась за содействием в трудоустройствеДвери в нацпроект открывал для Натальи её статус...
Кузбасс завершил разработку проекта восстановления путепровода Горловка – Артемовск. Кемеровская область 0 Кузбасс подготовила проектно-сметную документацию для восстановления путепровода, разрушенного в 2014 году. В настоящее время проект...
Об этом сообщил исполняющий обязанности министра молодежной политики ДНР Денис Шимановский.Шимановский уточнил, что в текущем году центр будет открыт с юридической точки зрения, после чего начнутся ремонтные работы. Для этого уже подобрано...
Так, в четверг, 30 октября 2025 года, подразделениями МУП «Простор» были выполнены следующие работы:- уборка мусора, подметание на остановках общественного транспорта и уход за урнами по запланированному...
С начала 2025 года на территории Горловки произошло более шестиста пожаров. Материальный ущерб составил более 12-и миллионов рублей. Погибло 8 человек. Причиной возникновения пожаров в большинстве случаев стало неосторожное обращение с огнем.Источник:...
В Автомобильно-дорожном институте состоялось торжественное заседание ученого совета посвященного 55-летию Дорожно-транспортного факультета. Это не только историческая веха, но и рубеж, который дает возможность взглянуть на пройденный путь и наметить...















































