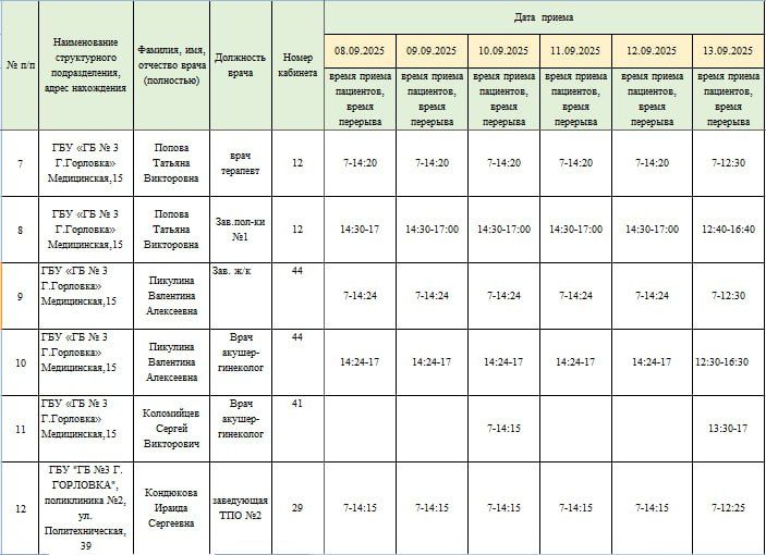
График работы специалистов ГБУ ДНР «Городская больница № 1 г.Горловки», ГБУ ДНР «ГБ №3 г.Горловки»
Иван Приходько: График работы специалистов ГБУ ДНР «Городская больница № 1 г.Горловки», ГБУ ДНР «ГБ №3 г.Горловки»
Подписывайтесь на наш Telegram-канал
Топ
Активисты Калининского штаба Молодёжки сделали окопные свечи в рамках проекта «Старший Брат».Эти свечи — частичка нашего неравнодушия, заботы и надежды на скорейшую ПобедуВ скором времени свечи буду переданы военнослужащим на фронт.Подписаться |...
С 21 по 23 февраля 2026 года осуществлена выездная торговля с использованием автомагазинов в населенных пунктах городских округов Донецк, Горловка, Мариуполь, на территории г. Авдеевка, также Волновахского, Володарского, Старобешевского...
Он проходит на сайте естьрезультат.рф.Каждый желающий может направить свои идеи и инициативы — все поступившие предложения будут рассмотрены экспертами при подготовке нового предвыборного документа.Присоединяйтесь и делитесь своими инициативами! В...
А серьезно - если бы СВО не случилось? Вот провели бы ещё один Нормандский формат, поимплементировали в Минской ТКГ и....К лету 2023 года ВСУ вышла на пик в реале. Запорожский фронт. Думаю с подкачкой оружием, а она реально была на низком старте, было...
В рамках празднования Дня защитника Отечества в УМВД России «Горловское» состоялось вручение паспортов гражданина Российской Федерации 14-летним горожанам.Начальник отдела по вопросам миграции УМВД России «Горловское»...
24 февраля 2026 года состоялись заседания постоянных комитетов Горловского городского совета Донецкой Народной Республики. Совместное заседание по вопросам муниципальной собственности и земельных отношений и по вопросам местного самоуправления и...
Вакансии ФИЛИАЛА «РЕГИОНАЛЬНОЕ УПРАВЛЕНИЕ ПО ЭКСПЛУАТАЦИИ КАНАЛА» ГОСУДАРСТВЕННОГО УНИТАРНОГО ПРЕДПРИЯТИЯ ДОНЕЦКОЙ НАРОДНОЙ РЕСПУБЛИКИ «ВОДА ДОНБАССА»В ФИЛИАЛ «РЕГИОНАЛЬНОЕ УПРАВЛЕНИЕ ПО ЭКСПЛУАТАЦИИ КАНАЛА» ГОСУДАРСТВЕННОГО УНИТАРНОГО ПРЕДПРИЯТИЯ...
ПЕРЕДАВАЙТЕ ПОКАЗАНИЯ В 1 КЛИК – БЕЗ РЕГИСТРАЦИЙ!Уважаемые абоненты, ООО «Черноморнефтегаз» напоминает о возможности передачи показаний приборов учёта газа через онлайн-сервис «Показания».Доступно для всех...
Горловский РЭС сообщает, что в связи с проведением ремонтных работ 25 февраля с 09:00 до 15:00 без электроэнергии дома по адресам: ул. Козлова, ул. Промышленная, ул. Губковая, ул. Мартеновская, ул. Экспрессная, ул. Симфоническая, ул....
Представители Общественного совета посетили заседание постоянного комитета24 февраля 2026 года председатель Общественного совета городского округа Горловка архимандрит Агафодор (Поляков) и член Общественного совета Недайвода Сергей...
МЧС ДНР: сложные погодные условияВ среду, 25 февраля 2026 года, в Донецкой Народной Республике ожидаются сложные погодные условия: мокрый снег, дождь, ночью и в первой половине дня местами туман, гололёдно-изморозевые отложения, на дорогах...
24 февраля 2026 года депутаты Горловского городского совета от фракции «Единая Россия» – Андрей Костюк, Александр Кунов, Даниил Карабаев – осуществили адресный подвоз воды.Сегодня особенно важно говорить о людях, которые готовы прийти на...
Филиал «Горловское ПУВКХ» ГУП ДНР «ВОДА ДОНБАССА» информируетФилиал «Горловское ПУВКХ» ГУП ДНР «ВОДА ДОНБАССА» сообщает, что в связи с аварийной ситуацией сегодня, 24 февраля, будет перекрыта подача воды по адресам: ул. Мазиковых, 18, ул. Волкова, 4...
Вниманию горловчан: отключение электроэнергииГорловский РЭС сообщает, что в связи с проведением ремонтных работ 25 февраля с 09:00 до 15:00 без электроэнергии дома по адресам: ул....
24 февраля 2026 года депутаты Горловского городского совета от фракции «Единая Россия» — Роман Конев, Наталия Ботвина, Олег Сладкевич, Максим Лебедев, Эдуард Полепкин, Елена Кузьмина, Сергей Медведев, Игорь Толкачёв, Светлана...
Уважаемые жители городского округа Горловка! Доводим до вашего сведения, что в рамках подготовки к проведению избирательной кампании по выборам депутатов Государственной Думы Российской Федерации Территориальная избирательная комиссия № 20...
Обзор выполненных работ Горловского филиала единого регионального фонда по управлению многоквартирными домами на территории Донецкой Народной РеспубликиВ период с 16 по 24 февраля 2026 года специалисты Горловского филиала единого регионального фонда...
Сотрудники отдела ГИБДД УМВД России «Горловское» ежедневно осуществляют надзор за дорожным движением, пресекая нарушения ПДД, которые могут привести к аварийным ситуациям и дорожно-транспортным происшествиям.С начала текущего года на территории г....
В Горловке активно реализуется проект партии «Единая Россия» «Старший брат»В рамках проекта «Старший брат» партии «Единая Россия» сегодня, 24 февраля, Народная Дружина Горловки организовала спортивное мероприятие, в котором участвовала...
















































