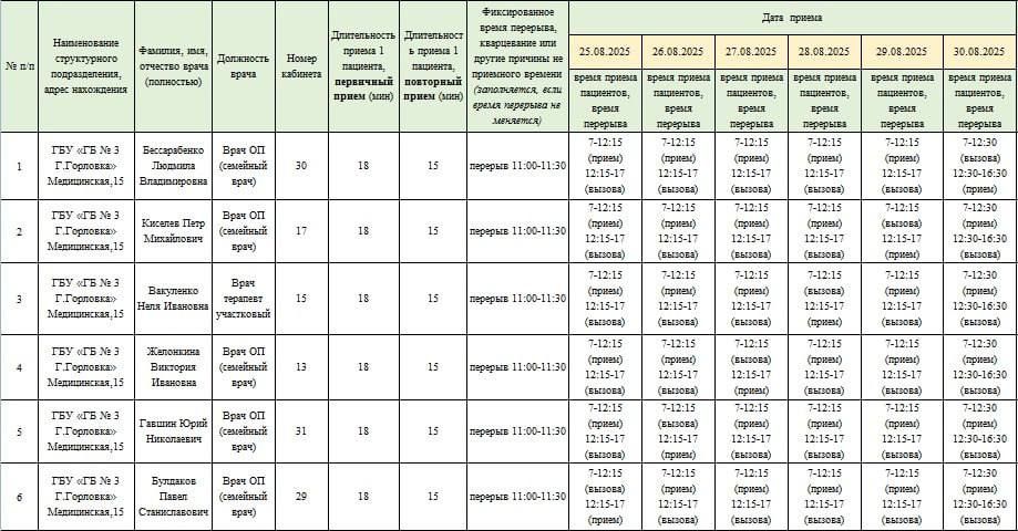
График работы специалистов ГБУ ДНР «ЦПМСП № 2 Горловка», ГБУ ДНР «ЦОМД г.Горловки», ГПБ г.Горловки, ГБУ ДНР «ГПТД г.Горловки», ГБУ ДНР «ГБ №3 г.Горловки»
Иван Приходько: График работы специалистов ГБУ ДНР «ЦПМСП № 2 Горловка», ГБУ ДНР «ЦОМД г.Горловки», ГПБ г.Горловки, ГБУ ДНР «ГПТД г.Горловки», ГБУ ДНР «ГБ №3 г.Горловки»
Подписывайтесь на наш Telegram-канал
Топ
В Минтрансе ДНР обсудили перспективы развития транспортной инфраструктуры в рамках проекта Схемы территориального планирования, которую в этом году разрабатывает Единый институт пространственного планирования РФ в отношении части...
Во исполнение поручения Главы Донецкой Народной Республики Дениса Владимировича Пушилина сегодня провел встречу с трудовым коллективом одного из учреждений нашего города.Акцентировано внимание на активном поиске альтернативных источников...
В Центрально-Городском районе Горловки прошла встреча лидера общественного мнения с жителямиСегодня, 25 февраля, во исполнение поручения Главы Донецкой Народной Республики Дениса Пушилина состоялась встреча лидера общественного мнения Виктории Ляшенко...
Информация по обстрелам Горловки с 00:00 24.02.2026 г. по 00:00 25.02.2026 г.@Prikhodko1970
НОВЫЙ РЕЛИЗ ОТ ЗВЕРОБОЯ! Комбат с позывным "Длинный" защищает родную Горловку с 2014 года. Он делает это, несмотря ни на что. Сергей Анатольевич Попов стал для нас другом и воплощением стального донбасского характера. В его лице, мы отдаём...
В Горловке состоялось мероприятие в рамках партийного проекта Единой России «Чистая страна»В рамках реализации проекта «Чистая страна» партии «Единая Россия», во вторник, 24 февраля, депутатами Горловского городского совета...
Юные горловчане принимают активное участие в проекте партии «Единая Россия» «Детский спорт»Во вторник, 24 февраля, прошел турнир по футзалу среди детей 2015-2017 годов рождения, посвященный Дню Защитника Отечества, в рамках реализации проекта партии...
Активисты Калининского штаба Молодёжки сделали окопные свечи в рамках проекта «Старший Брат».Эти свечи — частичка нашего неравнодушия, заботы и надежды на скорейшую ПобедуВ скором времени свечи буду переданы военнослужащим на фронт.Подписаться |...
Он проходит на сайте естьрезультат.рф.Каждый желающий может направить свои идеи и инициативы — все поступившие предложения будут рассмотрены экспертами при подготовке нового предвыборного документа.Присоединяйтесь и делитесь своими инициативами! В...
С 21 по 23 февраля 2026 года осуществлена выездная торговля с использованием автомагазинов в населенных пунктах городских округов Донецк, Горловка, Мариуполь, на территории г. Авдеевка, также Волновахского, Володарского, Старобешевского...
А серьезно - если бы СВО не случилось? Вот провели бы ещё один Нормандский формат, поимплементировали в Минской ТКГ и....К лету 2023 года ВСУ вышла на пик в реале. Запорожский фронт. Думаю с подкачкой оружием, а она реально была на низком старте, было...
ПЕРЕДАВАЙТЕ ПОКАЗАНИЯ В 1 КЛИК – БЕЗ РЕГИСТРАЦИЙ!Уважаемые абоненты, ООО «Черноморнефтегаз» напоминает о возможности передачи показаний приборов учёта газа через онлайн-сервис «Показания».Доступно для всех...
Горловский РЭС сообщает, что в связи с проведением ремонтных работ 25 февраля с 09:00 до 15:00 без электроэнергии дома по адресам: ул. Козлова, ул. Промышленная, ул. Губковая, ул. Мартеновская, ул. Экспрессная, ул. Симфоническая, ул....
МЧС ДНР: сложные погодные условияВ среду, 25 февраля 2026 года, в Донецкой Народной Республике ожидаются сложные погодные условия: мокрый снег, дождь, ночью и в первой половине дня местами туман, гололёдно-изморозевые отложения, на дорогах...
Филиал «Горловское ПУВКХ» ГУП ДНР «ВОДА ДОНБАССА» информируетФилиал «Горловское ПУВКХ» ГУП ДНР «ВОДА ДОНБАССА» сообщает, что в связи с аварийной ситуацией сегодня, 24 февраля, будет перекрыта подача воды по адресам: ул. Мазиковых, 18, ул. Волкова, 4...
Вниманию горловчан: отключение электроэнергииГорловский РЭС сообщает, что в связи с проведением ремонтных работ 25 февраля с 09:00 до 15:00 без электроэнергии дома по адресам: ул....
24 февраля 2026 года депутаты Горловского городского совета от фракции «Единая Россия» – Андрей Костюк, Александр Кунов, Даниил Карабаев – осуществили адресный подвоз воды.Сегодня особенно важно говорить о людях, которые готовы прийти на...
24 февраля 2026 года депутаты Горловского городского совета от фракции «Единая Россия» — Роман Конев, Наталия Ботвина, Олег Сладкевич, Максим Лебедев, Эдуард Полепкин, Елена Кузьмина, Сергей Медведев, Игорь Толкачёв, Светлана...
Представители Общественного совета посетили заседание постоянного комитета24 февраля 2026 года председатель Общественного совета городского округа Горловка архимандрит Агафодор (Поляков) и член Общественного совета Недайвода Сергей...

















































