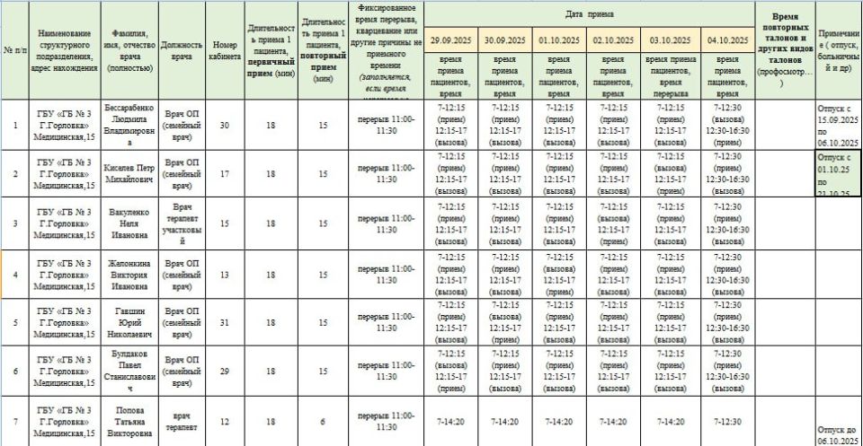
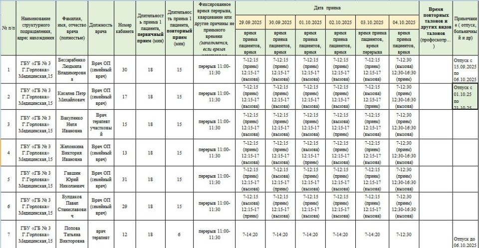
График работы специалистов ГБУ ДНР «Городская больница № 1 г. Горловки» и ГБУ ДНР «Городская больница № 3 г. Горловки»
Иван Приходько: График работы специалистов ГБУ ДНР «Городская больница № 1 г. Горловки» и ГБУ ДНР «Городская больница № 3 г. Горловки»
Подписывайтесь на наш паблик в Одноклассниках
Топ
Активисты Калининского штаба Молодёжки сделали окопные свечи в рамках проекта «Старший Брат».Эти свечи — частичка нашего неравнодушия, заботы и надежды на скорейшую ПобедуВ скором времени свечи буду переданы военнослужащим на фронт.Подписаться |...
С 21 по 23 февраля 2026 года осуществлена выездная торговля с использованием автомагазинов в населенных пунктах городских округов Донецк, Горловка, Мариуполь, на территории г. Авдеевка, также Волновахского, Володарского, Старобешевского...
Он проходит на сайте естьрезультат.рф.Каждый желающий может направить свои идеи и инициативы — все поступившие предложения будут рассмотрены экспертами при подготовке нового предвыборного документа.Присоединяйтесь и делитесь своими инициативами! В...
В рамках празднования Дня защитника Отечества в УМВД России «Горловское» состоялось вручение паспортов гражданина Российской Федерации 14-летним горожанам.Начальник отдела по вопросам миграции УМВД России «Горловское»...
Вакансии ФИЛИАЛА «РЕГИОНАЛЬНОЕ УПРАВЛЕНИЕ ПО ЭКСПЛУАТАЦИИ КАНАЛА» ГОСУДАРСТВЕННОГО УНИТАРНОГО ПРЕДПРИЯТИЯ ДОНЕЦКОЙ НАРОДНОЙ РЕСПУБЛИКИ «ВОДА ДОНБАССА»В ФИЛИАЛ «РЕГИОНАЛЬНОЕ УПРАВЛЕНИЕ ПО ЭКСПЛУАТАЦИИ КАНАЛА» ГОСУДАРСТВЕННОГО УНИТАРНОГО ПРЕДПРИЯТИЯ...
А серьезно - если бы СВО не случилось? Вот провели бы ещё один Нормандский формат, поимплементировали в Минской ТКГ и....К лету 2023 года ВСУ вышла на пик в реале. Запорожский фронт. Думаю с подкачкой оружием, а она реально была на низком старте, было...
24 февраля 2026 года состоялись заседания постоянных комитетов Горловского городского совета Донецкой Народной Республики. Совместное заседание по вопросам муниципальной собственности и земельных отношений и по вопросам местного самоуправления и...
Представители Общественного совета посетили заседание постоянного комитета24 февраля 2026 года председатель Общественного совета городского округа Горловка архимандрит Агафодор (Поляков) и член Общественного совета Недайвода Сергей...
Уважаемые жители городского округа Горловка! Доводим до вашего сведения, что в рамках подготовки к проведению избирательной кампании по выборам депутатов Государственной Думы Российской Федерации Территориальная избирательная комиссия № 20...
24 февраля 2026 года депутаты Горловского городского совета от фракции «Единая Россия» – Андрей Костюк, Александр Кунов, Даниил Карабаев – осуществили адресный подвоз воды.Сегодня особенно важно говорить о людях, которые готовы прийти на...
ПЕРЕДАВАЙТЕ ПОКАЗАНИЯ В 1 КЛИК – БЕЗ РЕГИСТРАЦИЙ!Уважаемые абоненты, ООО «Черноморнефтегаз» напоминает о возможности передачи показаний приборов учёта газа через онлайн-сервис «Показания».Доступно для всех...
24 февраля 2026 года депутаты Горловского городского совета от фракции «Единая Россия» — Роман Конев, Наталия Ботвина, Олег Сладкевич, Максим Лебедев, Эдуард Полепкин, Елена Кузьмина, Сергей Медведев, Игорь Толкачёв, Светлана...
Горловский РЭС сообщает, что в связи с проведением ремонтных работ 25 февраля с 09:00 до 15:00 без электроэнергии дома по адресам: ул. Козлова, ул. Промышленная, ул. Губковая, ул. Мартеновская, ул. Экспрессная, ул. Симфоническая, ул....
МЧС ДНР: сложные погодные условияВ среду, 25 февраля 2026 года, в Донецкой Народной Республике ожидаются сложные погодные условия: мокрый снег, дождь, ночью и в первой половине дня местами туман, гололёдно-изморозевые отложения, на дорогах...
Филиал «Горловское ПУВКХ» ГУП ДНР «ВОДА ДОНБАССА» информируетФилиал «Горловское ПУВКХ» ГУП ДНР «ВОДА ДОНБАССА» сообщает, что в связи с аварийной ситуацией сегодня, 24 февраля, будет перекрыта подача воды по адресам: ул. Мазиковых, 18, ул. Волкова, 4...
Вниманию горловчан: отключение электроэнергииГорловский РЭС сообщает, что в связи с проведением ремонтных работ 25 февраля с 09:00 до 15:00 без электроэнергии дома по адресам: ул....
Главное за неделю:1. Около 300 игрушечных корги отправят детям Донбасса из Московской области2. Из Кузбасса в Горловку прибыли еще 2 автобуса ПАЗ3. Амурская область начала ремонт улицы Ленина в Амвросиевке4. Гуманитарный груз для благоустройства...
Обзор выполненных работ Горловского филиала единого регионального фонда по управлению многоквартирными домами на территории Донецкой Народной РеспубликиВ период с 16 по 24 февраля 2026 года специалисты Горловского филиала единого регионального фонда...
Сотрудники отдела ГИБДД УМВД России «Горловское» ежедневно осуществляют надзор за дорожным движением, пресекая нарушения ПДД, которые могут привести к аварийным ситуациям и дорожно-транспортным происшествиям.С начала текущего года на территории г....















































